News

5 Benefits of Deuteration in Drug Discovery

Views: 157     Author: Unibest Industrial     Publish Time: 2024-07-31      Origin: Site

facebook sharing button
twitter sharing button
line sharing button
wechat sharing button
linkedin sharing button
pinterest sharing button
sharethis sharing button

In the recent advancement of pharmaceutical research and development, deuteration has emerged as a powerful tool for enhancing drug properties and creating new opportunities for innovative drug companies by modifying or designing and synthesizing deuterated compounds de novo. This blog post explores the potential of deuteration and its impact on the pharmaceutical industry.


What is Deuteration?

Hydrogen is the most common element in the universe and has three natural forms, called isotopes: protium (1H, usually just called H, with one proton and one electron, making up 99.9844% of hydrogen), deuterium (2H, or D, which has one proton, one neutron, and one electron, making up 0.0156% of hydrogen), and tritium (3H, or T, which has one proton, two neutrons, and one electron, and is very rare). D and T can be easily detected using mass spectrometry and radioactivity measurements, respectively. They are widely used in life sciences to track and understand biological and chemical processes. T is radioactive but has a long half-life, while D is stable and safe to handle. With the development of highly sensitive mass spectrometry, D is increasingly used in place of T in many biomedical applications. 


Deuteration is the process of replacing H in a molecule with D. Compared to H, D has a smaller molar volume (0.140 cm3/mol smaller per atom), weaker lipophilicity (ΔlogPoct = -0.006), shorter carbon-hydrogen bond (0.005 Å shorter), and of course, heavier than H. These differences make C-D bond much more stable than C-H bond. This simple change can significantly alter a drug's pharmacokinetic (PK) properties, effectiveness, and safety.


hydrogen deuterium and tritium

image src: ITER Organization


5 Benefits of Deuteration in Drug Development

Deuteration offers several advantages in drug development:

1) Improved Metabolic Stability: By replacing hydrogen with deuterium at key positions, drugs can become more resistant to metabolic breakdown (mostly through CYP3A4), potentially leading to improved half-life and reduced dosing frequency.

2) Enhanced Selectivity: In the case of deucravacitinib, deuteration helped maintain the drug's selectivity for TYK2 over other kinases by preventing the formation of non-selective metabolites.

3) Stablized Isomers: Deuterium doesn't just affect how drugs are metabolized; it also impacts chemical processes like breaking C–H(D) bonds, which is important for chiral switches. Using deuterium at a specific position (called the deuterium-enabled chiral switch or DECS) can slow down the rate at which atoms are removed and stabilize different forms of a molecule. A well-known example is thalidomide, where the fast conversion (read more about Tautomerization here) between its forms in the body makes it unsafe to use the non-harmful (R)-enantiomer. Using deuterium slows down this conversion and stabilizes the safer form.


deuteration in thalidomide - how deuteration statilizes the safter isomer

Modified from Di Martino, R. M. C., Maxwell, B. D. & Pirali, T. Deuterium in drug discovery: progress, opportunities and challenges. Nat Rev Drug Discov 1–23 (2023) doi:10.1038/s41573-023-00703-8.


4) Reduced Toxicity: By altering the metabolic pathway of a drug, deuteration can sometimes lead to reduced formation of toxic metabolites. In addition to the benefit of decreased dosing and dosage strength, deuteration of drug molecules potentially improves the safety profile.

5) New Intellectual Property Opportunities: For innovative drug companies, deuteration offers a pathway to create improved versions of existing drugs, potentially leading to new patent opportunities.


Recent Successes in Deuterated Drugs

The pharmaceutical industry has seen several recent successes with deuterated compounds:

- Deutetrabenazine: The first deuterated drug, deutetrabenazine, was approved by the FDA in 2017. It has a much better pharmacokinetic (PK) profile compared to the non-deuterated version, tetrabenazine, which was approved in 2008 for treating chorea associated with Huntington’s disease. This improvement allowed for a significant reduction in both the dose and the frequency of dosing. Specifically, tetrabenazine required an initial dose of 12.5 mg per day, which was gradually increased to 25 mg per day and further adjusted weekly by 12.5 mg increments to find a suitable dose. In contrast, deutetrabenazine starts at a lower dose of 6 mg once daily, with weekly increments of 6 mg up to a maximum of 48 mg per day (24 mg twice daily) to achieve the desired effect.


Structural Comparsion of Deutetrabenazine and Tetrabenazine


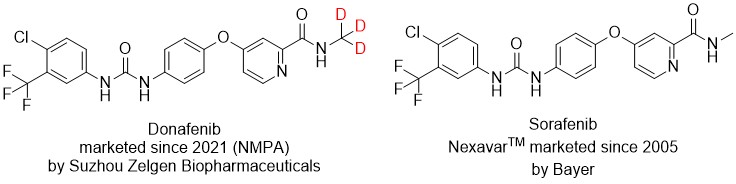
- Donafenib: Approved in China in 2021 for unresectable hepatocellular carcinoma, donafenib is a deuterated version of sorafenib. Clinical studies have shown that donafenib offers improved PK properties, higher efficacy, and fewer adverse effects compared to its non-deuterated counterpart.



Structural Comparsion of Donafenib and Sorafenib


- VV116: This oral remdesivir derivative, approved for emergency COVID-19 treatment in Uzbekistan, combines deuteration with prodrug design to create an orally bioavailable antiviral agent.



Structural Comparsion of Remdesivir and VV16


- Deucravacitinib: Approved by the FDA in September 2022 for psoriasis, deucravacitinib is a groundbreaking allosteric tyrosine kinase 2 (TYK2) inhibitor. It represents the first de novo deuterated drug to receive FDA approval, marking a significant milestone in the field (view the synthesis of Deucravacitinib and selection of Deucravacitinib intermediates here). 

Structure of Deucravacitinib


Deuteration in Action: The Deucravacitinib Story

Deucravacitinib is the first approved drug that includes deuterium without having a non-deuterated version on the market. The development began with a lead compound known as 1. Initially, adding a methyl group to the primary amide of compound 1 created compound 2. This methylamide is critical in conferring TYK2 specificity by fitting into a unique alanine pocket (subplot C), enhancing its selectivity for TYK2 (IC50 in nM scale compared to other JAKs whose IC50 values are in ÎĽM scale). However, the compound 2 is prone to N-dealkylation that results in the cleavage of this pivotal methylamide and the metabolite 3 showed a drop in TYK2 selectivity. To further improve the drug, they used a strategy called the deuterium switch, which replaced hydrogen atoms with deuterium in compound 4. This increased its metabolic stability and reduced the formation of unwanted metabolite like compound 3.


design of Deucravacitinib - interaction of ligand of TYK2 JH2 with deucravacitinib lead compound

A). The design flow of Deucravacitinib. Image src: Di Martino, R. M. C., Maxwell, B. D. & Pirali, T. Deuterium in drug discovery: progress, opportunities and challenges. Nat Rev Drug Discov 1–23 (2023) doi:10.1038/s41573-023-00703-8. B). Blue arrows indicating the 'pocket'. Modified from PDB 6NZR; C). Zoomed in compound 2 interaction with TYK2 JH2. Image src: Wrobleski, S. T. et al. Highly Selective Inhibition of Tyrosine Kinase 2 (TYK2) for the Treatment of Autoimmune Diseases: Discovery of the Allosteric Inhibitor BMS-986165. J. Med. Chem. 62, 8973–8995 (2019).



The final product, deucravacitinib, showed significant improvements in both potency and selectivity for TYK2. Clinical data confirmed that deucravacitinib at therapeutic doses did not cause significant side effects commonly seen with other JAK inhibitors, such as decreases in hemoglobin or neutrophil levels, or changes in platelet counts.


Conclusion: The Future of Deuteration in Pharmaceuticals

As the success stories of donafenib, VV116, and deucravacitinib demonstrate, deuteration is no longer just a tool for improving existing drugs. It has become an integral part of the drug discovery process, often employed in early stages to overcome PK challenges. 


For global pharmaceutical companies, deuteration presents exciting opportunities to develop improved versions of existing drugs or to create entirely new chemical entities. As our understanding of deuteration's effects on drug properties grows, we can expect to see more deuterated compounds entering clinical trials and reaching the market in the coming years.



References

Scheiner, S. & Čuma, M. Relative Stability of Hydrogen and Deuterium Bonds. J. Am. Chem. Soc. 118, 1511–1521 (1996).
 

Wrobleski, S. T. et al. Highly Selective Inhibition of Tyrosine Kinase 2 (TYK2) for the Treatment of Autoimmune Diseases: Discovery of the Allosteric Inhibitor BMS-986165. J. Med. Chem. 62, 8973–8995 (2019).
 

Di Martino, R. M. C., Maxwell, B. D. & Pirali, T. Deuterium in drug discovery: progress, opportunities and challenges. Nat Rev Drug Discov 1–23 (2023) doi: 10.1038/s41573-023-00703-8.